June 8, 2022
Day 57: Tarvisio to Venzone
| Heart | 0 | Comment | 0 | Link |
Breakfast is on the "menu" again as we start off the description of today's adventure. For about 57 days we have been really enjoying the amazing European breakfast offerings. Yet over time I have been beginning to miss something about breakfast back home. I've realized now what it is, and that is heat - in the sense of a hot meal. At home breakfast could have hot fried eggs, hot cakes, hot bacon, hot toast. Here things are usually cold - cold cuts, refrigerated cheese, fresh but not hot buns, cold smoked fish, etc. etc. So I was excited to see today what looked like hot crepes and hot cakes. Excited enough to take their picture.
There was also something else new, though not in the hot category, more serious looking cakes than before, plus donuts.
Alas, the hot cakes turned out to be cold, and the crepes, while ok, were filled with cool Nutella. We'll just have to struggle on with all that ham, and cheese, and fruit, and !!
The bike garage showed the popularity of the Alpe Adria, and the effect of the publication of such well defined stages. There were at least 30 bikes at this one hotel. We are coming to know some of the riders, and really enjoying the sense of community with them all.
The garage also housed on Alpha Romeo sports car. While quite fancy, it was subject to lots of derision from the cyclists. Since you clearly can not fit a bike in it, or on it, what use could it possibly be??
Parked just outside was another Alpha Romeo, this one maybe slightly more useful. It also had the big plus of being a "Stelvio" model. Stelvio is big with cyclists, possibly because of its prominence in the Giro d'Italia, though admittedly motorists may have noticed it as well.
Looking around our hotel before leaving, I tried to get a feel for the houses and the mountains in the area. Many buildings may be "ski lodges" and sort of styled for tourists, but that's ok, they would still be the authentic architecture of the place.
What came next was something we really did not expect. Other bloggers had mentioned that this is a really good route, and they promised a fun ride down to the Adriatic once the Alps were behind. But today's stage, Tarvisio to Venzone really exceeded any descriptions we had read. For 48 continuous km we had a rail trail, with perfect surface, and a persistent downward slope. 48km! We began to joke that we would have to turn the pedals occasionally, just to keep our legs from locking up. But that's not all, not even close. We were passing during this time through an area with the mountains close on each side, following the valley of the Fella River. The Fella is the type of turquoise coloured gravel bedded fast moving stream so evocative of high mountain areas. It is gorgeous and exciting.
What's more, in addition to the "ski chalet" type buildings, there are also the crumbly and old ones in the towns, the ones that seem so iconically Italian. Our bikes often do this to us - we do a little pedalling and suddenly look around to realize we are not in Kansas (or Bavaria) any more. It can sometimes be more jarring than even air travel, because with air you expect everything to be all different, once the thing lands.
We enjoyed seeing the other cyclists on the route. Sometimes their numbers are quite impressive. Mostly they go so fast they miss stuff that we are spotting. In this shot, Dodie had noticed something that the herd were clearly going to miss.
Another big thing about this stage was tunnels. We lost count, but one account mentions 22. I thought there were more! Many are long, very cool, and dark. There are motion sensor lights, but in at least one place these were not working for a goodly stretch. Without bike headlights in that bit, one would be bouncing off the walls!
Not only were there tunnels, but also bridges. Lots of these had wire mesh surfaces, and we were careful not to lose traction on this. The bridges always afforded beautiful views, and some were beautiful in themselves.
| Heart | 7 | Comment | 0 | Link |
The river was a continuing source of fascination, for its colour and speed. And there were waterfalls from tributaries too!
| Heart | 7 | Comment | 0 | Link |
| Heart | 4 | Comment | 0 | Link |
Although the show stoppers this day were the big mountains, gridges, tunnels and such, there were also plants and insects to attract attention:
| Heart | 6 | Comment | 0 | Link |
Keen readers will notice that we mention 48 km of blissful riding, but the trip today we give as 61 km. So that's 13 km of, yes, hell. The route is continually under development, and work was underway between the old station at Moggio and our destination today at Venzone. With very little notice or signage it is all over, and cyclists generally find themselves on the high speed road. While stuck out with the trucks I would find it a little comforting to see signs confirming that we really are on the right route. Such signs might even help the truckers to expect cyclists and to understand that they are supposed to be there. But no. We had to rely on the GPS, even for such unlikely moves like having to cross the big road in the middle of "nowhere".
The town of Venzone has some interesting things about it, which we could appreciate even as we rode through in a fairly frazzled state. It begins with the place having been a unique walled town, with a double wall and a moat between. That looks like this:
The next fact is that Venzone was almost entirely destroyed by the 1976 Friuli earthquake, killing 47 inhabitants. The historic town centre was rebuilt in its original style from numerous pieces of rubble in the next years, following, we understand, original plans or designs. We weren't in town long enough to appreciate which bits might have been rebuilds. We did spot one church on the way in, that clearly had been left as it was:
One of our friends sharing the route remarked that he would be having to cycle out east of Venzone, because he could not find a place in town. But we are proud of the one Dodie found for us. It's in sort of a private home, but with five rental rooms built in. The place is absolutely immaculate, large, with good wifi, and free drinks left for us in the fridge. Almost best of all are two large windows giving a great cross breeze, and each with a view of mountains. The other four rooms seem to be vacant, so too bad our friend missed out.
What Gave Meaning to Life today? Effortless gliding through mountains .
Bonus: Postcards
The classic postcard text "Wish you were here" does actually capture the essence of sending postcards. We always like to share good things with our friends and family. This blog is sort of a giant postcard, but especially with grandchildren, it's a lot of reading, or a chore for parents to go through it with them. So we also send them real postcards. In turn we are gratified to learn that they receive and appreciate them, like in these photos sent by Sabrina:
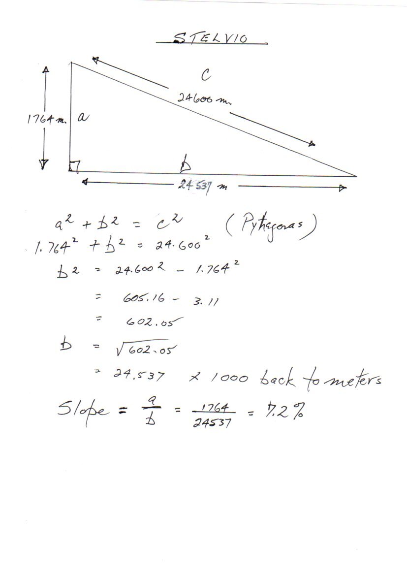
Bonus #2: Surprising Slopes
My brother was looking at the figures I gave for the descent from the pass at Bad Gastein, and he concluded that the average slope there was 8%. Taking the number of meters of total drop and the recorded road distance, he had the vertical and the hypotenuse of a triangle, and so could calculate the "run" using Pythagoras, and with that, the slope percentage. 8% seemed low, but maybe. I then asked him to check Stelvio, and he came up with 7%. Remarkably this is also the figure I have seen in other sources on the web. Readers, how do these figures strike you?
Today's ride: 61 km (38 miles)
Total: 3,231 km (2,006 miles)
| Rate this entry's writing | Heart | 14 |
| Comment on this entry | Comment | 3 |
3 years ago
Riding up Stelvio from Bormio, there were sections that were almost level and others that therefore would have been steeper than the average slope, but none were get-off-and-push steep (for me). In Tuscany, though, I had to get off and push more than once!
3 years ago
3 years ago



